Nav

CAS:143314-17-4

 143314-17-4

143314-17-4

CAS号:143314-17-4

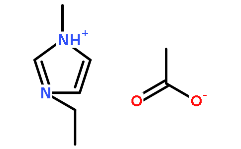
品名:1-乙基-3-甲基咪唑醋酸盐1-ethyl-3-methylimidazol-3-ium,acetate

中文别名:1-乙基-3-甲基咪唑乙酸盐;1-乙基-3-甲基咪唑乙酸酯;

英文别名:1-Ethyl-3-methylimidazoliumacetate;BASIONICBC01;1-Ethyl-3-methylimidazoliumAcetate;EMIMAc;

分子式:C8H14N2O2

分子量:170.209

精确质量:170.106

Psa:48.94

MDL号:MFCD06798186

密度:

闪点:164ºC

折射率:n20/D 1.502

海关编码:2933290090

合成

温馨提示 ×
商品已成功加入购物车!
购物车共 0 件商品
去购物车结算
微信 ×

打开微信,点击底部的“发现”

使用“扫一扫”即可将网页分享至朋友圈