Nav

CAS:29427-58-5

 29427-58-5

29427-58-5

CAS号:29427-58-5

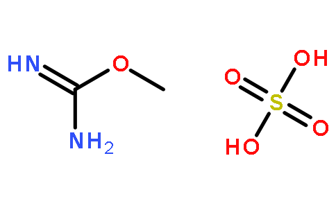
品名:o-甲基异尿素硫酸氢盐O-METHYLISOUREASULFATE

中文别名:邻甲基异脲硫酸盐;

英文别名:O-Methylisoureabisulfate;o-Methylisoureabisulfate;Methylcarbamimidatesulfate;O-MethylisoureaSulfate;methylisoureahydrogensulfate;2-METHYLPSEUDOUREASULFATE;OMIHS;OMIHYDROGENSULFATE;O-methylisoureadihydrosulfate;O-methylisoureasulfuricacidsalt1:1;O-methylisoureahydrogensulfate;O-methylisoureahydrogen-sulphate;Einecs249-622-6;

分子式:C2H8N2O5S

分子量:172.16

精确质量:172.015

Psa:142.08

MDL号:MFCD00013132

密度:

沸点:66.9ºC at 760mmHg

熔点:118-120°C(lit.)

闪点:165.7ºC

安全说明:S26-S36

危险类别码:R36/37/38

WGK Germany:3

海关编码:2925290090

危险品标志:Xi

用途:1、5-氟脲嘧啶的中间体。

合成

温馨提示 ×
商品已成功加入购物车!
购物车共 0 件商品
去购物车结算
微信 ×

打开微信,点击底部的“发现”

使用“扫一扫”即可将网页分享至朋友圈