Nav

CAS:10016-20-3

 10016-20-3

10016-20-3

CAS号:10016-20-3

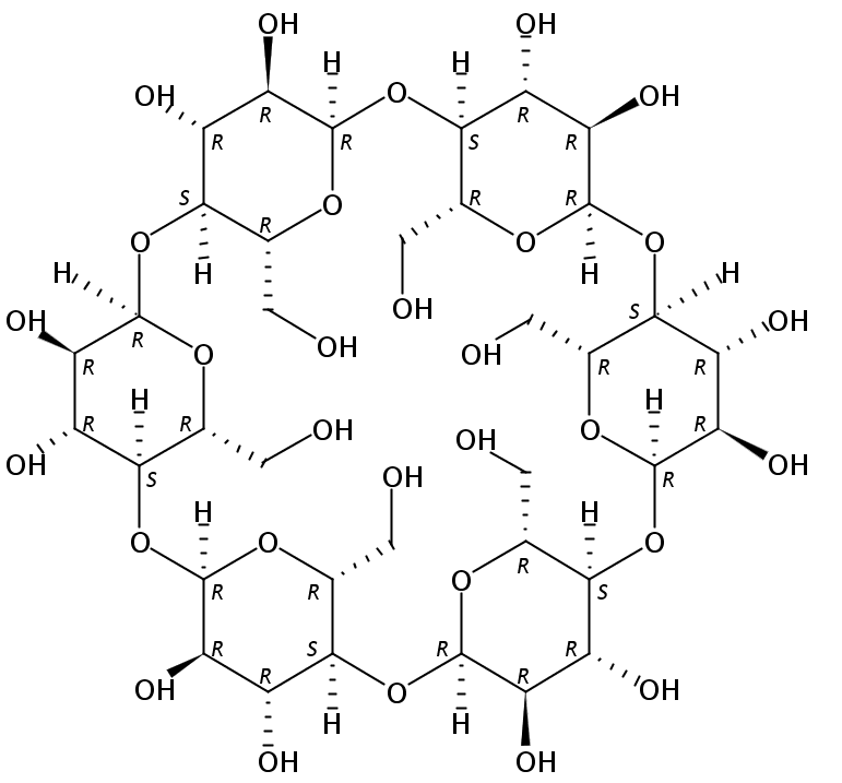
品名:α-环糊精α-cyclodextrin

中文别名:阿法环糊精;

英文别名:CYCLOHEXAAMYLOSE;α-CD,Cyclohexaamylose,cyclomaltohexaose;Cyclohexapentylose;cyclomaltohexaose;Alpha-Cyclodextrin;alpha-Cycloamylose;α-Cyclodextrin;cyclomaltodextrin;Cyclohexaamylose;CYCLOMALTOHEXOSE;alpha-cyclodextrin;Alfadex;a-Cyclodextrin.;Schardingerα-Dextrin;

分子式:C36H60O30

分子量:972.844

精确质量:972.317

Psa:474.9

EINECS号:233-007-4

MDL号:MFCD00078207

外观与性状:白色粉末

密度:1.624 g/cm3

沸点:1410.8ºC at 760 mmHg

熔点:278ºC

闪点:807.1ºC

折射率:1.591

稳定性:Stable. Combustible. Incompatible with strong oxidizing agents.

储存条件:Store at RT.

蒸汽压:0mmHg at 25°C

安全说明:S26; S36

危险类别码:R36

海关编码:29400090

用途:环糊精在环状结构的中心具有空穴,内部有-CH-与葡萄糖甙结合的氧原子,呈硫水性,葡萄糖2位、3位和6位的-OH基呈亲水性,可通过微弱的范德华力将其他分子络合成包接物。能被环糊精包接的物质很多,包括稀有气体、卤素、染料、香料、药物、食品、农药和防腐剂等。包接后,其稳定性、挥发性、溶解性、反应性都有所改善。环糊精的这种特殊作用,使它成为具有广泛应用价值的包接材料。在医药工业中的用途利用环糊精能与药物生成包接物(包囊化),可以使

螯合/络合化合物

温馨提示 ×
商品已成功加入购物车!
购物车共 0 件商品
去购物车结算
微信 ×

打开微信,点击底部的“发现”

使用“扫一扫”即可将网页分享至朋友圈