筛选出 5 条数据

    品牌 产品 货期 价格 货号 规格 /
    核磁共振溶剂和试剂14128-54-2

    CAS号:14128-54-2

    品名:氘代氢化锂铝LITHIUMALUMINUMDEUTERIDE

    中文别名:氘化铝锂;氘代锂铝;

    英文别名:lithium,tetradeuterioalumanuide;Lithiumaluminumdeuteride;Lithiumaluminiumdeuteride;

    分子式:AlD4Li

    分子量:41.9789

    精确质量:42.054

    Psa:0.0

    EINECS号:237-980-6

    MDL号:MFCD00044245

    PubChem号:24851582

    外观与性状:固体

    密度:0.736

    熔点:125°C(lit.)

    闪点:&<−30°F

    稳定性:Reacts violently with water.

    储存条件:water-free area

    安全说明:S45-S36/37/39-S36-S26-S16-S7/8-S43-S24/25

    危险类别码:R11; R15; R34

    WGK Germany:3

    危险品运输编码:UN 3399 4.3/PG 1

    危险类别:4.3

    包装等级:I

    危险品标志:F; C

      14128-54-2 详细信息

    核磁共振溶剂和试剂

    CAS号:14128-54-2

    品名:氘代氢化锂铝LITHIUMALUMINUMDEUTERIDE

    中文别名:氘化铝锂;氘代锂铝;

    英文别名:lithium,tetradeuterioalumanuide;Lithiumaluminumdeuteride;Lithiumaluminiumdeuteride;

    分子式:AlD4Li

    分子量:41.9789

    精确质量:42.054

    Psa:0.0

    EINECS号:237-980-6

    MDL号:MFCD00044245

    PubChem号:24851582

    外观与性状:固体

    密度:0.736

    熔点:125°C(lit.)

    闪点:&<−30°F

    稳定性:Reacts violently with water.

    储存条件:water-free area

    安全说明:S45-S36/37/39-S36-S26-S16-S7/8-S43-S24/25

    危险类别码:R11; R15; R34

    WGK Germany:3

    危险品运输编码:UN 3399 4.3/PG 1

    危险类别:4.3

    包装等级:I

    危险品标志:F; C

    展开

    核磁共振溶剂和试剂14128-54-2
    安耐吉 氘代氢化锂铝 Lithiumaluminumdeuteride 现货

     465.00
    E090163 (D4,98% ),1.0mol/LinTHF,Energyseal
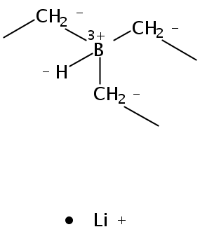
    还原122-56-5

    CAS号:122-56-5

    品名:三正丁基硼Tributylborane

    中文别名:三丁基硼;三丁基硼烷;

    英文别名:Tri-n-butylborane;TBBTributylboron;

    分子式:C12H27B

    分子量:182.154

    精确质量:182.221

    Psa:0.0

    RTECS号:ED1850000

    EINECS号:204-554-6

    MDL号:MFCD00009423

    PubChem号:24857985

    密度:0.834g/mLat 25°C

    沸点:109°C20mm Hg(lit.)

    熔点:-34 °C

    闪点:1°F

    折射率:1.4285

    储存条件:库房通风低温干燥,与氧化剂分开存放

    蒸汽压:0.3mmHg at 25°C

    安全说明:7-23-26-36/37/39-43-45-16

    危险类别码:R11; R17; R19; R34; R36/37

    WGK Germany:1

    海关编码:2931900090

    危险品运输编码:UN 2845 4.2/PG 1

    危险类别:4.2

    危险品标志:F; C

      122-56-5 详细信息

    还原

    CAS号:122-56-5

    品名:三正丁基硼Tributylborane

    中文别名:三丁基硼;三丁基硼烷;

    英文别名:Tri-n-butylborane;TBBTributylboron;

    分子式:C12H27B

    分子量:182.154

    精确质量:182.221

    Psa:0.0

    RTECS号:ED1850000

    EINECS号:204-554-6

    MDL号:MFCD00009423

    PubChem号:24857985

    密度:0.834g/mLat 25°C

    沸点:109°C20mm Hg(lit.)

    熔点:-34 °C

    闪点:1°F

    折射率:1.4285

    储存条件:库房通风低温干燥,与氧化剂分开存放

    蒸汽压:0.3mmHg at 25°C

    安全说明:7-23-26-36/37/39-43-45-16

    危险类别码:R11; R17; R19; R34; R36/37

    WGK Germany:1

    海关编码:2931900090

    危险品运输编码:UN 2845 4.2/PG 1

    危险类别:4.2

    危险品标志:F; C

    展开

    还原122-56-5
    安耐吉 三丁基硼 Tributylborane 期货,请咨询

     950.00
    W420200 1.0mol/linTHF,Energyseal
    还原22560-16-3

    CAS号:22560-16-3

    品名:三乙基硼氢化锂LITHIUMTRIETHYLBOROHYDRIDE

    中文别名:三乙基硼氢化锂

    英文别名:LITHIUMTRIETHYLHYDROBORATE;super-hydridesolution;lithiumtriethylborohydridesolution;LithiumTriethylborohydride;Lithiumborohydridethiethyl;LITHIUMTRIETHYLHYDRIDOBORATE;Super-Hydride(R)solution;Lithiumtriethylhydroborat;SUPER-HYDRIDE(R);Li[B(Et)3H];

    分子式:C6H16BLi

    分子量:105.943

    精确质量:106.151

    Psa:0.0

    BRN号:4151240

    MDL号:MFCD00011703

    PubChem号:24850649

    外观与性状:无色至淡灰色哑色溶液

    密度:0.892g/mLat 25°C

    闪点:1°F

    储存条件:Flammables + water-Freezer (-20ºC)e area

    安全说明:S16-S26-S33-S36/37/39-S43-S45

    危险类别码:R11; R15; R19; R34

    WGK Germany:1

    危险品运输编码:UN 3399 4.3/PG 1

    危险类别:4.3

    包装等级:I

    危险品标志:F; C

    用途:1.还原剂。还原伯、仲卤代烷成烷,而不还原叔卤代烷和卤代芳烃。还原酯成脂,醇通过对甲苯磺酸酯还原成烷。季按盐脱甲基,比氢化铝锂和氢化硼锂快,被称为超级氢化物(Superhydride)

      22560-16-3 详细信息

    还原

    CAS号:22560-16-3

    品名:三乙基硼氢化锂LITHIUMTRIETHYLBOROHYDRIDE

    中文别名:三乙基硼氢化锂

    英文别名:LITHIUMTRIETHYLHYDROBORATE;super-hydridesolution;lithiumtriethylborohydridesolution;LithiumTriethylborohydride;Lithiumborohydridethiethyl;LITHIUMTRIETHYLHYDRIDOBORATE;Super-Hydride(R)solution;Lithiumtriethylhydroborat;SUPER-HYDRIDE(R);Li[B(Et)3H];

    分子式:C6H16BLi

    分子量:105.943

    精确质量:106.151

    Psa:0.0

    BRN号:4151240

    MDL号:MFCD00011703

    PubChem号:24850649

    外观与性状:无色至淡灰色哑色溶液

    密度:0.892g/mLat 25°C

    闪点:1°F

    储存条件:Flammables + water-Freezer (-20ºC)e area

    安全说明:S16-S26-S33-S36/37/39-S43-S45

    危险类别码:R11; R15; R19; R34

    WGK Germany:1

    危险品运输编码:UN 3399 4.3/PG 1

    危险类别:4.3

    包装等级:I

    危险品标志:F; C

    用途:1.还原剂。还原伯、仲卤代烷成烷,而不还原叔卤代烷和卤代芳烃。还原酯成脂,醇通过对甲苯磺酸酯还原成烷。季按盐脱甲基,比氢化铝锂和氢化硼锂快,被称为超级氢化物(Superhydride)

    展开

    还原22560-16-3
    安耐吉 三乙基硼氢化锂 Lithiumtriethylborohydride 现货

     109.00
    W4201970250 1.0mol/linTHF,Energyseal
    有机锂591-51-5

    CAS号:591-51-5

    品名:苯基锂phenyllithium

    中文别名:苯基锂

    英文别名:PHENYLLITHIUMSOLUTIONINDIBUTYLETHER;phenyl-lithium;PHENYLLITHIUMDIBUTYL;Phenyllithium;Phenyllithium;phenyllitihium;LITHIUMPHENYL;phenylllithium;Lithiobenzene;

    分子式:C6H5Li

    分子量:84.0449

    精确质量:84.0551

    Psa:0.0

    EINECS号:209-720-1

    密度:0.835g/mLat 25°C

    沸点:140-143 °C

    闪点:20 °C

    储存条件:2-8ºC

    安全说明:S26-S36/37/39-S45-S61-S62-S60-S43-S16-S6

    危险类别码:R11; R14; R35; R52/53

    WGK Germany:2

    危险品运输编码:UN 3392 4.2/PG 1

    危险类别:4.3

    包装等级:II

    危险品标志:F; C

    信号词:Danger

    危险性防范说明:P210; P231; P280; P305 + P351 + P338; P370 + P378; P422

    危险标志:GHS02, GHS05, GHS07

    危险性描述:H226; H250; H314; H335; H412

    用途:用于有机物合成锂化试剂。碱性试剂。与卤乙烯类反应制环丙烯衍生物。与芳香氟化物反应制苯炔。还用于Hofmann降解,Wittig反应,卤锂交换反应制乙烯基锂。

      591-51-5 详细信息

    有机锂

    CAS号:591-51-5

    品名:苯基锂phenyllithium

    中文别名:苯基锂

    英文别名:PHENYLLITHIUMSOLUTIONINDIBUTYLETHER;phenyl-lithium;PHENYLLITHIUMDIBUTYL;Phenyllithium;Phenyllithium;phenyllitihium;LITHIUMPHENYL;phenylllithium;Lithiobenzene;

    分子式:C6H5Li

    分子量:84.0449

    精确质量:84.0551

    Psa:0.0

    EINECS号:209-720-1

    密度:0.835g/mLat 25°C

    沸点:140-143 °C

    闪点:20 °C

    储存条件:2-8ºC

    安全说明:S26-S36/37/39-S45-S61-S62-S60-S43-S16-S6

    危险类别码:R11; R14; R35; R52/53

    WGK Germany:2

    危险品运输编码:UN 3392 4.2/PG 1

    危险类别:4.3

    包装等级:II

    危险品标志:F; C

    信号词:Danger

    危险性防范说明:P210; P231; P280; P305 + P351 + P338; P370 + P378; P422

    危险标志:GHS02, GHS05, GHS07

    危险性描述:H226; H250; H314; H335; H412

    用途:用于有机物合成锂化试剂。碱性试剂。与卤乙烯类反应制环丙烯衍生物。与芳香氟化物反应制苯炔。还用于Hofmann降解,Wittig反应,卤锂交换反应制乙烯基锂。

    展开

    有机锂591-51-5
    安耐吉 苯基锂 Phenyllithium 现货

     398.00
    W420060 1.9mol/LinDi-n-butylether,EnergySeal
    有机锂1822-00-0

    CAS号:1822-00-0

    品名:三甲基硅甲基锂lithium,methanidyl(trimethyl)silane

    中文别名:(三甲基硅烷)甲基化锂;(三甲基甲硅烷)甲基锂;

    英文别名:(Trimethylsilyl)methyllithium,0.8M;(Trimethylsilyl)Methyllithium;

    分子式:C4H11LiSi

    分子量:94.1566

    精确质量:94.079

    Psa:0.0

    BRN号:4123225

    MDL号:MFCD00010747

    PubChem号:24857896

    密度:0.65

    沸点:35-36ºC

    闪点:-49ºC

    储存条件:2-8ºC

    安全说明:S16-S26-S33-S36/37/39-S43-S45-S61-S62

    危险类别码:R11; R14; R34; R51/53; R65; R66; R67

    海关编码:2931900090

    危险品运输编码:UN 3399

    危险类别:4.2

    危险品标志:F; C; N

      1822-00-0 详细信息

    有机锂

    CAS号:1822-00-0

    品名:三甲基硅甲基锂lithium,methanidyl(trimethyl)silane

    中文别名:(三甲基硅烷)甲基化锂;(三甲基甲硅烷)甲基锂;

    英文别名:(Trimethylsilyl)methyllithium,0.8M;(Trimethylsilyl)Methyllithium;

    分子式:C4H11LiSi

    分子量:94.1566

    精确质量:94.079

    Psa:0.0

    BRN号:4123225

    MDL号:MFCD00010747

    PubChem号:24857896

    密度:0.65

    沸点:35-36ºC

    闪点:-49ºC

    储存条件:2-8ºC

    安全说明:S16-S26-S33-S36/37/39-S43-S45-S61-S62

    危险类别码:R11; R14; R34; R51/53; R65; R66; R67

    海关编码:2931900090

    危险品运输编码:UN 3399

    危险类别:4.2

    危险品标志:F; C; N

    展开

    有机锂1822-00-0
    安耐吉 三甲基硅甲基锂 (Trimethylsilyl)methyllithiu... 期货,请咨询

     199.00
    W4201280250 0.6mol/LinHexane,EnergySeal
温馨提示 ×
商品已成功加入购物车!
购物车共 0 件商品
去购物车结算
微信 ×

打开微信,点击底部的“发现”

使用“扫一扫”即可将网页分享至朋友圈